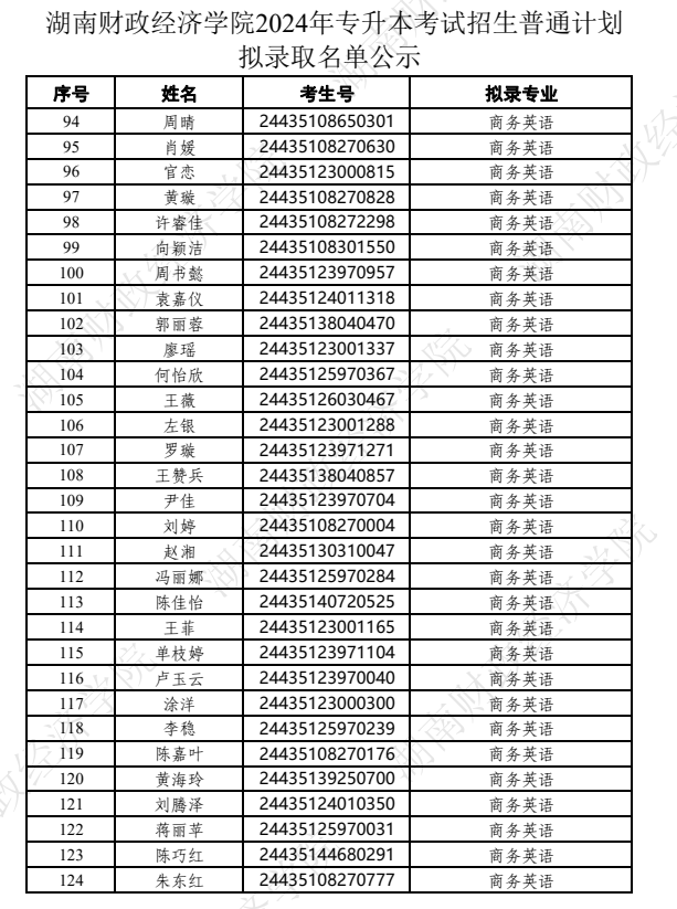
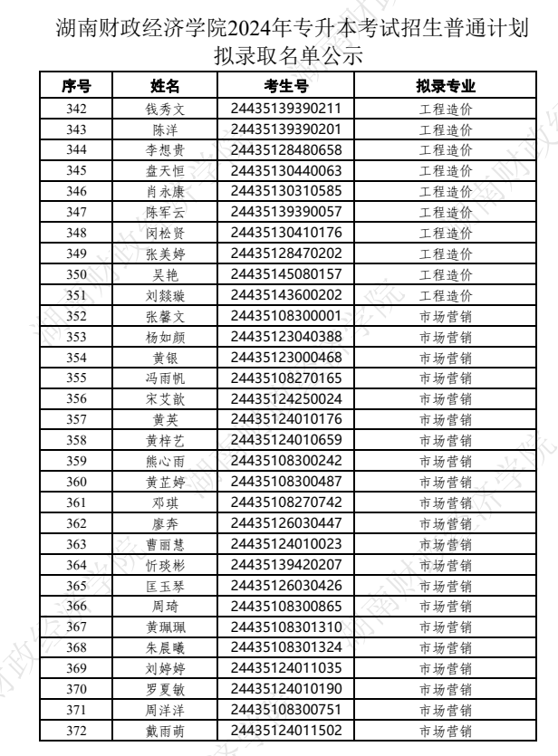
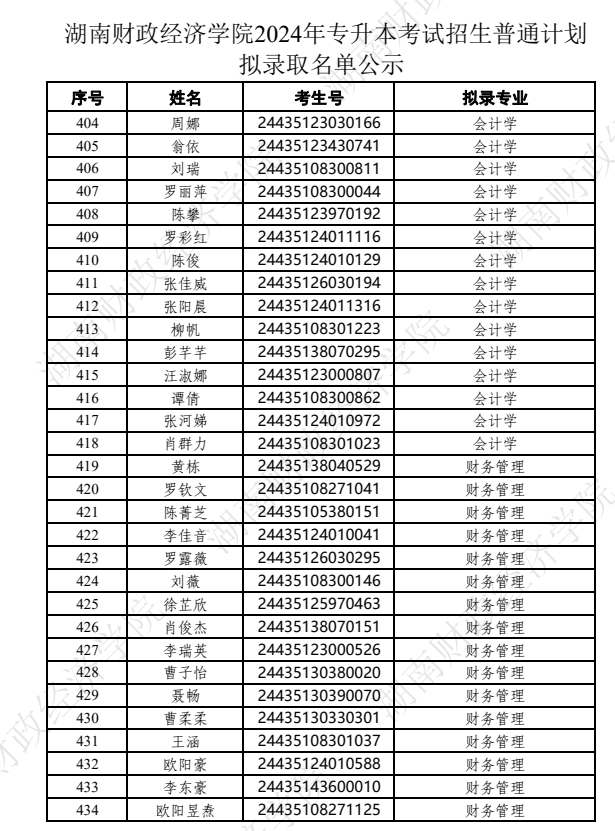
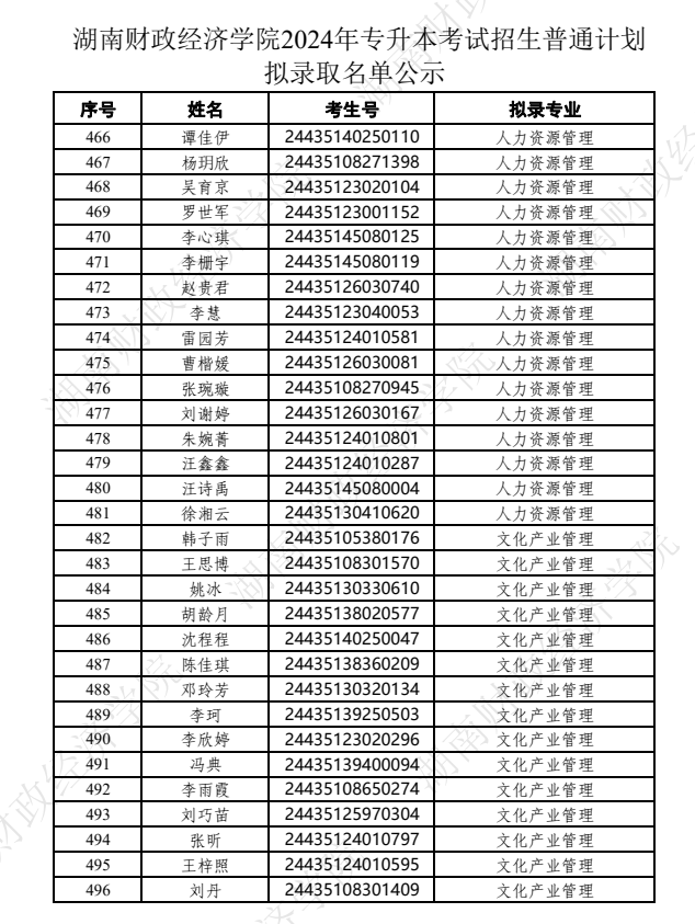
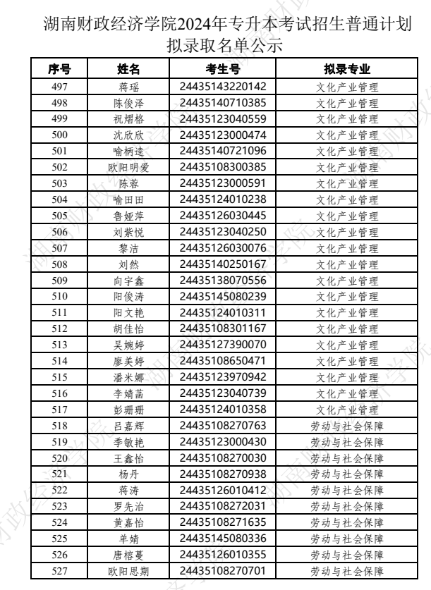
根据湖南省教育厅《关于做好2024年湖南省普通高等学校专升本考试招生工作的通知》(湘教发〔2023〕50号)、湖南省教育考试院《关于做好我省2024年普通高等学校专升本考试招生组织实施工作的通知》(湘教考成字〔2024〕2号)及《湖南财政经济学院2024年专升本招生章程》等文件精神,按照湖南省专升本考试招生工作程序和政策,经学校专升本招生工作领导小组审核,并将拟录取结果上报湖南省教育考试院。经省教育考试院审核通过,现将拟录取名单予以公示(见附件)。
公示期:2024年6月4日至6月10日。
在公示期内,如有异议,请直接向学校教务处或校纪委、监察专员办公室反映。 公示结束后,如有不符合毕业条件的考生将取消录取资格,正式录取名单以湖南省教育考试院审核为准。
联系方式:0731-88811788(教务处)、0731-88811781(纪委、监察专员办公室)
湖南财政经济学院
2024年6月4日





















